Expected Number Of Draws Until Success . The probability distribution for draws until first success without replacement. The probability distribution for draws until first success without replacement. Let $e$ be expected number of draws until the black ball is drawn. We consider the urn setting with two. Let $w_1$ be the waiting time (total number of trials) up to first success, $w_2$ the waiting time from first success to second, and so on. All of the calculations below involve conditioning on early. This paper covers all the topics that were covered on the 21st october, for professor mike o neil's theory of probability. The following trick is generally extremely useful. Hypergeometric distribution describes the probability of k successes in n draws from population of n with k successes. John ahlgren <ahlgren@ee.cityu.edu.hk> april 7, 2014. Let's find some expectations by conditioning.
from informacionpublica2021.svet.gob.gt
This paper covers all the topics that were covered on the 21st october, for professor mike o neil's theory of probability. The probability distribution for draws until first success without replacement. The probability distribution for draws until first success without replacement. John ahlgren <ahlgren@ee.cityu.edu.hk> april 7, 2014. We consider the urn setting with two. Let $w_1$ be the waiting time (total number of trials) up to first success, $w_2$ the waiting time from first success to second, and so on. All of the calculations below involve conditioning on early. Let $e$ be expected number of draws until the black ball is drawn. The following trick is generally extremely useful. Hypergeometric distribution describes the probability of k successes in n draws from population of n with k successes.
Example Calculating Coin Toss Probabilities, 60 OFF
Expected Number Of Draws Until Success All of the calculations below involve conditioning on early. The following trick is generally extremely useful. Let $e$ be expected number of draws until the black ball is drawn. Let's find some expectations by conditioning. All of the calculations below involve conditioning on early. John ahlgren <ahlgren@ee.cityu.edu.hk> april 7, 2014. This paper covers all the topics that were covered on the 21st october, for professor mike o neil's theory of probability. The probability distribution for draws until first success without replacement. We consider the urn setting with two. Let $w_1$ be the waiting time (total number of trials) up to first success, $w_2$ the waiting time from first success to second, and so on. Hypergeometric distribution describes the probability of k successes in n draws from population of n with k successes. The probability distribution for draws until first success without replacement.
From neighbourhoodretailer.com
Wednesday’s Lotto ‘Must Be Won’ draw promises big sales boosts for Expected Number Of Draws Until Success The following trick is generally extremely useful. John ahlgren <ahlgren@ee.cityu.edu.hk> april 7, 2014. Hypergeometric distribution describes the probability of k successes in n draws from population of n with k successes. Let $e$ be expected number of draws until the black ball is drawn. We consider the urn setting with two. The probability distribution for draws until first success without. Expected Number Of Draws Until Success.
From www.chegg.com
Solved produce the graphs for (C) and (d). , or has s of Expected Number Of Draws Until Success This paper covers all the topics that were covered on the 21st october, for professor mike o neil's theory of probability. The probability distribution for draws until first success without replacement. Let $e$ be expected number of draws until the black ball is drawn. The probability distribution for draws until first success without replacement. Let's find some expectations by conditioning.. Expected Number Of Draws Until Success.
From www.pinterest.com
Jersey Cash 5 Lotterycodex Patterns in 2021 Lottery, Lottery strategy Expected Number Of Draws Until Success The probability distribution for draws until first success without replacement. All of the calculations below involve conditioning on early. The following trick is generally extremely useful. John ahlgren <ahlgren@ee.cityu.edu.hk> april 7, 2014. Let's find some expectations by conditioning. This paper covers all the topics that were covered on the 21st october, for professor mike o neil's theory of probability. Let. Expected Number Of Draws Until Success.
From www.thesun.ie
Irish Lotto results Numbers in for Saturday February 1 €2m jackpot Expected Number Of Draws Until Success The probability distribution for draws until first success without replacement. Let $e$ be expected number of draws until the black ball is drawn. Hypergeometric distribution describes the probability of k successes in n draws from population of n with k successes. The probability distribution for draws until first success without replacement. Let $w_1$ be the waiting time (total number of. Expected Number Of Draws Until Success.
From www.chegg.com
4. Assessing Jade's Models Before you begin, Section Expected Number Of Draws Until Success Let's find some expectations by conditioning. Hypergeometric distribution describes the probability of k successes in n draws from population of n with k successes. We consider the urn setting with two. All of the calculations below involve conditioning on early. John ahlgren <ahlgren@ee.cityu.edu.hk> april 7, 2014. The following trick is generally extremely useful. The probability distribution for draws until first. Expected Number Of Draws Until Success.
From www.teachoo.com
Example 6 A die is thrown twice, sum of numbers is 6. Examples Expected Number Of Draws Until Success All of the calculations below involve conditioning on early. This paper covers all the topics that were covered on the 21st october, for professor mike o neil's theory of probability. The probability distribution for draws until first success without replacement. John ahlgren <ahlgren@ee.cityu.edu.hk> april 7, 2014. The following trick is generally extremely useful. Hypergeometric distribution describes the probability of k. Expected Number Of Draws Until Success.
From www.numerade.com
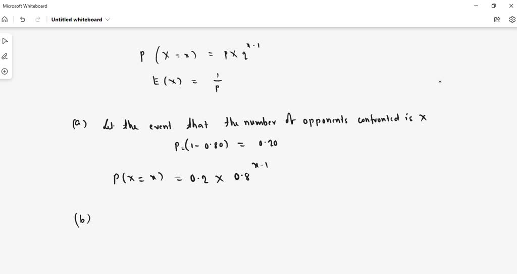
SOLVED A player of a video game is confronted with a series of Expected Number Of Draws Until Success Let $w_1$ be the waiting time (total number of trials) up to first success, $w_2$ the waiting time from first success to second, and so on. All of the calculations below involve conditioning on early. The probability distribution for draws until first success without replacement. John ahlgren <ahlgren@ee.cityu.edu.hk> april 7, 2014. Hypergeometric distribution describes the probability of k successes in. Expected Number Of Draws Until Success.
From www.lotteryoffice.com.au
Lotto Systems mean more chances to win The Lottery Office Expected Number Of Draws Until Success Let $e$ be expected number of draws until the black ball is drawn. John ahlgren <ahlgren@ee.cityu.edu.hk> april 7, 2014. The probability distribution for draws until first success without replacement. Hypergeometric distribution describes the probability of k successes in n draws from population of n with k successes. All of the calculations below involve conditioning on early. The probability distribution for. Expected Number Of Draws Until Success.
From math.stackexchange.com
probability Expected number of nonuniform draws until collision Expected Number Of Draws Until Success Let $w_1$ be the waiting time (total number of trials) up to first success, $w_2$ the waiting time from first success to second, and so on. The following trick is generally extremely useful. The probability distribution for draws until first success without replacement. Let's find some expectations by conditioning. This paper covers all the topics that were covered on the. Expected Number Of Draws Until Success.
From www.talkingretail.com
Big week for National Lottery retailers Expected Number Of Draws Until Success Let's find some expectations by conditioning. The probability distribution for draws until first success without replacement. We consider the urn setting with two. The probability distribution for draws until first success without replacement. This paper covers all the topics that were covered on the 21st october, for professor mike o neil's theory of probability. Hypergeometric distribution describes the probability of. Expected Number Of Draws Until Success.
From www.youtube.com
Expected Value (with 4 examples) YouTube Expected Number Of Draws Until Success Let $e$ be expected number of draws until the black ball is drawn. Hypergeometric distribution describes the probability of k successes in n draws from population of n with k successes. John ahlgren <ahlgren@ee.cityu.edu.hk> april 7, 2014. We consider the urn setting with two. The probability distribution for draws until first success without replacement. This paper covers all the topics. Expected Number Of Draws Until Success.
From www.slideserve.com
PPT DON’T TO SIGN IN FOR CREDIT! PowerPoint Presentation ID Expected Number Of Draws Until Success Let's find some expectations by conditioning. The following trick is generally extremely useful. Let $w_1$ be the waiting time (total number of trials) up to first success, $w_2$ the waiting time from first success to second, and so on. This paper covers all the topics that were covered on the 21st october, for professor mike o neil's theory of probability.. Expected Number Of Draws Until Success.
From www.youtube.com
Find Mean or Expectation of Sum of Numbers for Two Dice YouTube Expected Number Of Draws Until Success John ahlgren <ahlgren@ee.cityu.edu.hk> april 7, 2014. The probability distribution for draws until first success without replacement. Let $w_1$ be the waiting time (total number of trials) up to first success, $w_2$ the waiting time from first success to second, and so on. This paper covers all the topics that were covered on the 21st october, for professor mike o neil's. Expected Number Of Draws Until Success.
From www.teachoo.com
Question 3 Two cards are drawn successively with replacement from 52 Expected Number Of Draws Until Success Let $e$ be expected number of draws until the black ball is drawn. The probability distribution for draws until first success without replacement. Let $w_1$ be the waiting time (total number of trials) up to first success, $w_2$ the waiting time from first success to second, and so on. John ahlgren <ahlgren@ee.cityu.edu.hk> april 7, 2014. All of the calculations below. Expected Number Of Draws Until Success.
From www.slideserve.com
PPT Expected Value PowerPoint Presentation, free download ID2268076 Expected Number Of Draws Until Success Let's find some expectations by conditioning. We consider the urn setting with two. John ahlgren <ahlgren@ee.cityu.edu.hk> april 7, 2014. Hypergeometric distribution describes the probability of k successes in n draws from population of n with k successes. The probability distribution for draws until first success without replacement. All of the calculations below involve conditioning on early. The probability distribution for. Expected Number Of Draws Until Success.
From in.pinterest.com
The concept of planning a successful 2020. Businessman draws a graph of Expected Number Of Draws Until Success Let $e$ be expected number of draws until the black ball is drawn. The probability distribution for draws until first success without replacement. Hypergeometric distribution describes the probability of k successes in n draws from population of n with k successes. Let $w_1$ be the waiting time (total number of trials) up to first success, $w_2$ the waiting time from. Expected Number Of Draws Until Success.
From www.teachoo.com
Question 6 Let random variable X be sum of numbers Examples Expected Number Of Draws Until Success The probability distribution for draws until first success without replacement. Let $e$ be expected number of draws until the black ball is drawn. Hypergeometric distribution describes the probability of k successes in n draws from population of n with k successes. The probability distribution for draws until first success without replacement. We consider the urn setting with two. All of. Expected Number Of Draws Until Success.
From www.freepik.com
Premium Vector Concept of hope or chance for success, businessman Expected Number Of Draws Until Success All of the calculations below involve conditioning on early. Let's find some expectations by conditioning. Let $w_1$ be the waiting time (total number of trials) up to first success, $w_2$ the waiting time from first success to second, and so on. We consider the urn setting with two. The probability distribution for draws until first success without replacement. Let $e$. Expected Number Of Draws Until Success.